What an amazing weekend it was weather-wise.
Sunday’s high of 70 degrees at Philadelphia International Airport set a new record for the date, surpassing the previous mark of 68, set in 1948.
And from what I’ve heard, people took full advantage of the spring-like temperatures. The streets of Philly were filled with people walking, running, or biking. Cafes were bursting at the seams with people dining al fresco.
My son went for a hike, my wife was outside reading and soaking up the rays, and my in-laws went to the beach for the day.
And what was I doing?
Yep; the nicest day of the year and I was indoors studying for a calculus test.
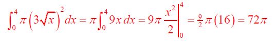
And not doing too well at it either. Take the problem shown above. I think I finally figured it out after about a half-hour. The problem is that there will be 5-7 problems like this on the test, and the test is only 75 minutes long.
And so that’s why I was in my office, trying to do as many of these problems as I could, hoping that at some point the classic learning-curve phenomenon kicks in and I get more efficient at doing these types of problems.
Now don’t get me wrong – I’m not complaining. I enjoy trying to solve these types of problems – with trying being the key word.
It would just make things easier if the weather would cooperate, and just pour rain on the days I’m studying.
By the way, if you’re curious , the answer to the problem is
,
no matter which method you use.


